Ik3 max?

21 jan 2013 08:09 - 21 jan 2013 08:10 #1 av Richard
Ik3 max? skapades av Richard
Har mättupp följande med Eurotest
Z-Line
Z: 0,78
Isc_ 294 A
R: 0,78
x1: 0,03
sys: TN/TT

Vad ska jag skriva på skylten som placeras vid centralen?

Ik3max =
Zför =

Be Logga in eller Skapa ett konto ansluta till konversationen.

21 jan 2013 09:20 - 01 apr 2016 07:56 #2 av Bo Siltberg
Svar från Bo Siltberg i ämnet Ik3 max?
Det kan du inte, du behöver mäta ik2. Men du kan höfta ik3max som

Ik3 = 2 * Ik1 = 2 * 294

Zför är det uppmätta Z-värdet mellan fas och PE. Men "Z-line" mäter väl mellan L-N? Värdet blir dock i de allra flesta fall detsamma.

Beräkna ik3 och ik2 om man bara vet ik1

Och det är de uppmätta värdena som ska anges om det står så på gruppschemat:
Vilket värde på gruppförteckning
Följande användare sa tack: Richard

Be Logga in eller Skapa ett konto ansluta till konversationen.

21 jan 2013 16:37 #3 av Richard
Svar från Richard i ämnet Ik3 max?
Då ska jag kolla hur man mäter Ik2 med instrumentet... Tack Bo.

Be Logga in eller Skapa ett konto ansluta till konversationen.

22 jan 2013 10:47 #4 av Lars Skoog
Svar från Lars Skoog i ämnet Ik3 max?
Du mäter Ik2 på samma sätt som Ik1 i centralen med skillnaden att du tar mätspetsarna mellan två faser istället för mellan fas och noll, instrumentet iställt på Zline. Enl. tidigare tar du uppmätt värde Ik2 och multiplicerar med 1,15 och får Ik3. Detta skall med marginal vara mindre än godkännandet på exvis dina dvärgbrytare typ 6kA(6000A)

Be Logga in eller Skapa ett konto ansluta till konversationen.

22 jan 2013 11:12 #5 av Richard
Svar från Richard i ämnet Ik3 max?

Lars Skoog skrev: Du mäter Ik2 på samma sätt som Ik1 i centralen med skillnaden att du tar mätspetsarna mellan två faser istället för mellan fas och noll, instrumentet iställt på Zline. Enl. tidigare tar du uppmätt värde Ik2 och multiplicerar med 1,15 och får Ik3. Detta skall med marginal vara mindre än godkännandet på exvis dina dvärgbrytare typ 6kA(6000A)


Ibland är det för enkelt... Har bara mätt Ik1max sista 12 åren... kanske helt i onödan... men instrumentet har inte gnällt...
Men dom olika

Be Logga in eller Skapa ett konto ansluta till konversationen.

04 apr 2013 09:04 #6 av Rikard Ågren
Svar från Rikard Ågren i ämnet Ik3 max?
Jag har nyss skaffat en EurotestAT MI 3101 och får dessa värden när jag sätter mätspetsarna mellan L1 och L2 på Z-LINE läget

Z-LINE PASS
Z: 0.17Ohm
Isc: 2.35kA
R: 0.17Ohm
Xl: 0.03Ohm
Fuse Type: gG
Fuse I: 25A
Fuse T: 5s
Isc_lim: 109.3A
IscMax3ph: 2.85kA
IscMin3ph: 1.74kA
IscMax2ph: 2.47kA
IscMin2ph: 1.50kA
IscStd: 2.35kA
SYS.: TN/TT

Instrumentet räknar alltså ut Ik3max själv?
1,15 x 2,47 = 2,8405

Projektledare el, styr och automation

Be Logga in eller Skapa ett konto ansluta till konversationen.

24 maj 2013 09:12 #7 av Richard
Svar från Richard i ämnet Ik3 max?
Yes. Jag har lyckats

1,23 kA
Z:0,33

Mätte mellan 2 faser.

Alltså får jag ut Ik3 max genom att.

1,23 * 1,15 =1,4145

Ik3 max = 1,4145

Be Logga in eller Skapa ett konto ansluta till konversationen.

24 maj 2013 14:53 #8 av Marcus Lundström
Svar från Marcus Lundström i ämnet Ik3 max?
Tänk på att detta är uppmätt värde. Impedansen varierar ju beroende på hur hårt hsp-trafon belastas. Därav också Ik3. Man ska dimensionera med marginal om 1,5
Följande användare sa tack: Michell Martic

Be Logga in eller Skapa ett konto ansluta till konversationen.

27 maj 2013 23:16 - 28 maj 2013 08:22 #9 av Stellan
Svar från Stellan i ämnet Ik3 max?
Stämmer det här?

¤Ik1 kan man ta ggr 2 för att få ett ungefärligt värde på Ik3.

¤Ik2 skall man ggr med 1.15 för att få Ik3.

¤Uppmätt värde på förimpedansen skall man ggr med 1.5 för att vara på säckra sidan vid en dimensionering.

¤För att kolla om man har rätt säkring till tex en grupp skall man dela Ik1 med 1.5 för att vara på säkra sidan vid en dimensionering.

Be Logga in eller Skapa ett konto ansluta till konversationen.

28 maj 2013 09:02 #10 av Bo Siltberg
Svar från Bo Siltberg i ämnet Ik3 max?
Det är en bra sammanfattning.

För första punkten finns dock förbehållet att PEN har samma area som fasledarna. För grövre kablar är det inte så vilket ger en lägre Ik1, dvs 2*Ik1 < Ik3. Dessutom är Ik1 och Ik3 per definition "olika" värden - Ik1 är den lägsta ström som man ska dimensionera med och Ik3 den högsta, vilket kanske i slutändan ger 3*Ik1 = Ik3. Men på ett ungefär...

Sista punkten gäller också enbart om Ik1 har uppmätts. Har du däremot fått värdet på Ik1 från nätägaren så är värdet redan justerat och kan användas direkt för att jämföra mot säkringen.
Följande användare sa tack: Stellan

Be Logga in eller Skapa ett konto ansluta till konversationen.

28 maj 2013 16:57 #11 av Stellan
Svar från Stellan i ämnet Ik3 max?
Jag har ett problem skall byta elcentral hemma och när jag mäter förimpedansen med installations provaren så ligger värdena på L1-PEN 0,6-0,8ohm L2-PEN 0,8-1,2ohm L3-PEN 1-2ohm
Hur kan det komma sig att det ligger så ojämnt och att det varierar så mycket, lite kan jag köpa men så här mycket?
Det är ju omöjligt att få till en schysst dimensionering. Har pratat med elleverantören dom har kollat anslutningar osv och fixat dom så att det skall vara ok. Men det är fortfarande kasst. Kan det vara fel på trafon eller? någon med erfarenhet som har lite koll

Be Logga in eller Skapa ett konto ansluta till konversationen.

28 maj 2013 20:03 #12 av Bo Siltberg
Svar från Bo Siltberg i ämnet Ik3 max?
Så stora skillnader ska det inte vara mellan faserna, dessutom inte så varierande värden mellan mätningarna. Har ingen förklaring till det men det luktar mätfel (t.ex glapp i mätproberna). Skulle du verkligen ha så hög förimpedans som 2 ohm så skulle det märkas när fasen belastas. Instrumenten brukar mäta spänningsfallet under en väldigt kort tid, typiskt en halvperiod. Du kanske skulle prova vattenkokarmetoden ;) så att spänningsfallet kan mätas under lite längre tid.

www.fluxio.se/forum/maetteknik/10259-hur...-maetning.html#13220

Be Logga in eller Skapa ett konto ansluta till konversationen.

30 maj 2013 20:05 #13 av Stellan
Svar från Stellan i ämnet Ik3 max?
Jag tror inte att det är mätfel jag har minst mätt 10 ggr alltid samma fas alltid samma skillnad fast värdena varierar mellan dom siffrorna jag skrev. + att mätinstrumentet säger ju till om den känner att spänningen försvinner. Jag har mätt olika tider på dygnet. Pratat med elleverantören men det känns som dom inte vet vad jag menar dom har heller inte kunnat säga vad för förimpedans det skall vara. Men dom skulle återkomma nästa vecka och någon skulle se mer på det. Men tveksamm om dom kommer fram till något för det känns som att dom inte riktigt är med på vad jag menar. Jag har ju mätt med ett instrument för över 11000kr och kan man inte lita på det så känns det väldigt konstigt. Jag tänkte att det kanske kan vara fel på trafon eller kan den vara överbelastad. Lindningar i motorer och generatorer kan ju få dåliga värden även om dom oftast märks lite kraftigare på ohmtalet.

Be Logga in eller Skapa ett konto ansluta till konversationen.

27 mar 2015 09:14 #14 av Oskar Ståhl
Svar från Oskar Ståhl i ämnet Ik3 max?
Väcker liv i denna tråden.

Jag har mätt upp en central med eurotestern och fått följande värden:
Z:0,43
Isc:934

Så för att beräkna Ik3 så behöver jag säkerhetsfaktorn 1,5?

934*1,15*1,5=1,6kA

Är detta korrekt?

Be Logga in eller Skapa ett konto ansluta till konversationen.

27 mar 2015 11:42 #15 av Michell Martic
Svar från Michell Martic i ämnet Ik3 max?
Nu är jag inte riktigt bekant med hur instrumentet redovisar sina värden så därför frågar jag:
Z-vad? Är det L1-L2 eller L1-N?
Isc-vad? Är det Ik1 eller Ik3?

Be Logga in eller Skapa ett konto ansluta till konversationen.

27 mar 2015 15:17 #16 av Mikael Malmgren
Svar från Mikael Malmgren i ämnet Ik3 max?
Kan vara intressant att visa var de 1,15 kommer ifrån.
Jag har fått för mig att Ik1 är i samma storleksordning som Ik3 i ett direktjordat nät.


Elkraftingenjör och konsult med specialitet inom Reläskydd, Selektivplaner och Elkraftberäkningar. Även stort intresse för föreskrifter & standarder samt projektledning och entreprenadjuridik.


Mikael Malmgren Installatörsbehörighet: A

www.elektroinvent.se

Den här e-postadressen skyddas mot spambots. Du måste tillåta JavaScript för att se den.
Bilagor:

Be Logga in eller Skapa ett konto ansluta till konversationen.

27 mar 2015 16:13 - 27 mar 2015 18:01 #17 av Rikard Ågren
Svar från Rikard Ågren i ämnet Ik3 max?
Du kan få ut Ik3 direkt med Eurotestern om du mäter Z-LINE med svart prob på L1, blå på L2 och grön på jord. När mätningen är klar, tryck på F2 för att se Ik3

Projektledare el, styr och automation
Följande användare sa tack: Bo Siltberg, Henrik Eriksson, Michell Martic

Be Logga in eller Skapa ett konto ansluta till konversationen.

27 mar 2015 20:20 - 27 mar 2015 21:03 #18 av Michell Martic
Svar från Michell Martic i ämnet Ik3 max?
När jag tänker på det rent logiskt så får jag det till följande:

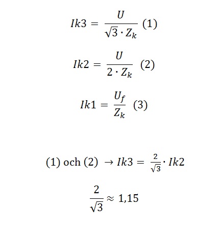
Ik3 beräknas med Uf (230V) dividerat med ZL1.
Spänningen baserar jag på att det är ett symmetriskt fel som ger största strömmen. Vid ett symmetriskt fel så har jag en neutralpunkt i feländan av kabeln. Således har jag spänningen 230V och impedansen av enbart en fasledare. Jag har alltså ingen returström eller impedans från en returledare att ta hänsyn till.

Ik2 beräknas med Uh (400V) dividerat med ZL1 + ZL2. Eftersom det är ett tvåfasigt osymmetriskt fel utan hjälp av återledning i tredje fasen så får vi räkna med 400V.

Ik1 beräknas med Uf (230V) dividerat med ZL1 + ZN. I många fall är ZL1 samma som ZN, men det förutsätter att returledaren har samma impedans som fasledaren (samma eller motsvarande dimension). Har de samma impedans så säger det sig själv att man kan beräkna ZL1 + ZN som 2 * ZL1, men om detta inte är samma så blir det ju fel.

Detta säger mig att det vanligaste, om vi har samma impedans i returledaren, är att Ik3 borde vara 2 * Ik1. Om vi inte har samma impedans i returledaren som i fasledaren så borde Ik1 vara mindre helt enkelt. Det borde ge det generella sambandet Ik3 ≥ 2 * Ik1.

Ik3 behöver sedan justeras med en säkerhetsfaktor för att ta hänsyn till att den ström du beräknat eller den impedans du mätt upp kanske inte riktigt är den högsta ström som kan gå i ledaren. Det finns säkert förutsättningar som kunde varit annorlunda än då du mätte som gör att den ström som kan gå i ledaren i värsta scenariot behöver justeras upp lite granna.

Ik1 behöver också justeras. Detta eftersom säkring ska lösa även då ledarna är fullt belastade. När de är fullt belastade så stiger ledarens resistivitet varpå strömmen minskar. Däremot så är det inte troligt att ledarna är fullt belastade då du mäter upp impedansen.

Och avanpå allt detta så är det ibland så att Ik1 faktiskt kan vara större än Ik2 och Ik3 om vi är väldigt nära transformatorn. Om man tänker efter så är det ju så att om vi har en kortslutning direkt på transformatorn så har vi ingen returledare för Ik1-felet heller. Precis som för Ik3-felet. Skillnaden är dock att vid ett Ik1-fel så är transformatorns, och därmed överliggande näts, kortslutningseffekt (Sk) koncentrerad mot en fas (inte all effekten då den är begränsad av hur mycket kraft som kan överföras till en fas från ett ben i kärnan) medans vid ett Ik3-fel så är effekten fördelad på tre faser. Den sammanlagda effekten som går ut vid ett Ik3-fel är alltså större, men om den totala effekten bara är mer än en tredjedel för ett Ik1-fel så kommer strömmen, per felande fas, att vara större för ett Ik1-fel. Risken för detta minskar dock ganska fort då vi lägger på impedansen från ledarna i takt med att vi rör oss bort från transformatorn. Detta eftersom vi för ett Ik1-fel lägger på minst dubbelt så mycket impedans per meter ledare vi lägger till som för motsvarande Ik3-fel. Bara en fotnot kanske.
Följande användare sa tack: Claes Börjesson

Be Logga in eller Skapa ett konto ansluta till konversationen.

27 mar 2015 23:08 #19 av Mikael Malmgren
Svar från Mikael Malmgren i ämnet Ik3 max?
Om vi tittar på det hela genom symetriska komponenter

Plusföljd; Z1
Minusföljd; Z2
Nollföljd; Z0

E är drivande fasspänning

Trefasfel: Ik = E/Z1

Tvåfasfel Ik = j * (rot(3) * E)/(Z2 + Z2)

Enfasfel Ik = 3E/(Z1+Z2+Z0)

Om Z1=Z2=Z0
så blir en och trefasfel lika stora medan tvåfasfel blir rot(3)/2 av detta värde, som formler i tidigare inlägg.

(Elkrafthandboken 1)

Jag tror inte att det går att säga att sambandet Ik3 är större/lika med 2 ggr Ik1 är något som är generellt. Jag vill mena (efter konsulterat böckerna) att Ik1 i direktjordade nät ligger någostans mellan Ik2 och Ik3 kanske till och med högre ibland vid låga Z0.

Elkraftingenjör och konsult med specialitet inom Reläskydd, Selektivplaner och Elkraftberäkningar. Även stort intresse för föreskrifter & standarder samt projektledning och entreprenadjuridik.


Mikael Malmgren Installatörsbehörighet: A

www.elektroinvent.se

Den här e-postadressen skyddas mot spambots. Du måste tillåta JavaScript för att se den.
Följande användare sa tack: Michell Martic

Be Logga in eller Skapa ett konto ansluta till konversationen.

28 mar 2015 06:21 - 28 mar 2015 08:16 #20 av Michell Martic
Svar från Michell Martic i ämnet Ik3 max?
Matematiskt så stämmer det som du skriver Mikael, men jag vill ändå ha det till att i praktiken så utgör transformatorns impedans bara en liten del av den totala impedansen. Ur ett distributionsperspektiv så kan Ik-arna variera som du beskriver, men ur ett konsumtionsperspektiv där punkten av intresse i princip alltid föergås av en del kabel så torde Z0 vara i princip minst dubbelt så stor som Z1. Ik1 ska passera tre punkter vilka bidrar med sin impedans: Transformator lindning (med överliggande näts bidrag), fasledarens ledningsimpedans samt returledarens ledningsimpedans.
Ik3 behöver passera fyra punkter: Transformatorns lindning samt fasledarens ledningsimpedans och samma väg tillbaka fast genom en annan fas. Om vi dock beräknar UE/f som E / 31/2 så behöver vi inte ta hänsyn till returströmmen (i princip så blir impedanserna = transformatorns lindning adderat med fasledarens impedans) och kan således använda UE/f / ZL1 för att beräkna Ik3.

Av det faktum att vi har samma drivande spänning, men i princip dubbelt så stor impedans, för Ik1 som för motsvarande Ik3 så borde vi därmed ha dubbelt så stor kortslutningsström för ett trefasigt fel som för ett enfasigt. Men detta förutsätter att vi är en bit från transformatorn, men det är vi som oftast i en kundanläggning för konsumtion på LSP.
Men detta blir dock mindre och mindre sant desto närmare transformatorn vi kommer eftersom impedansen för Ik1 minskar med an faktor av 2 i relation till Ik3, i princip (inte HELT sant)
Ik1 beror alltså på ZT + ZL1 + ZN. På detta ska det tilläggas att transformatorn bidrar med ca 10-20mΩ (om vi säger att det kanske är en trafo på mellan 315-800kVA) och ledningarna med kanske 100mΩ (20 + 100 + 100).
Motsvarande för Ik3 blir bara ZT + ZL (20 + 100).
Så som jag tänker så generaliserar jag ganska mycket, men för en konsumtionsanläggning på LSP så ligger generaliseringen med Ik3 ≥ 2 * Ik1 väldigt, väldigt nära sanningen.
Ska vi va riktigt noga så ska vi lägga till de komplexa komponenterna av varje delimpedans i beräkningarna också, men genom att bara addera beloppen så får vi en liten marginal på köpet.

Det jag egentligen försöker få fram är nog att Z1 = Z2 = Z0 kanske är troligt i takt med att vi rör oss bort från transformatorn.

Be Logga in eller Skapa ett konto ansluta till konversationen.

Sidan laddades på: 0.120 sekunder

Senaste foruminlägg