Hjälp med en beräkning

14 jan 2016 06:54 #41 av Electrum
Svar från Electrum i ämnet Hjälp med en beräkning
Sam.
Jag har haft snärjigt med tid igår, så jag har inte hunnit återkoppla som jag tänkt. Men under dagen idag tänkte jag fortsätta.

"Varde ljus"                                                                                 Frilansare med AL
1 Mosebok 1:3
Följande användare sa tack: Bo Siltberg, Sam Gold

Be Logga in eller Skapa ett konto ansluta till konversationen.

14 jan 2016 10:15 #42 av Bo Siltberg
Ang sakfrågan, jag har ingen åsikt men erfarenheter av befintliga kök kan nog vara av värde, om den informationen går att hitta. Om man summerar alla spisar och ugnar så blir det orimliga effekter. Samtidigt är det väldigt tråkigt att i efterhand få återkopplingen att den dyra kabel som man valde behövde vara lite grövre och dyrare...

Tågordningen för dimensioneringen är ju ungefär denna, och det går inte att börja med punkt 2 förrän punkt 1 är bestämd!

1. Bestäm förväntad belastning.
2. Välj överlastskydd med närmast högre märkström
3. Välj kabel med en belastningsförmåga som valt överströmsskydd kräver.
4. Räkna på spänningsfallet och välj ev en kabel med större ledararea
5. Kontrollera villkoren för frånkopplingstider (för både personskydd och överströmmar) och välj skydd, kortslutningsskydd och ev en kabel med större ledararea.
6. Kontrollera genomsläppt energi och välj ev skydd med större kortslutningsbrytförmåga eller kabel med större korttidsströmtålighet.
7. Kontrollera selektivitet mellan överströmsskydden.

För punkter som styr kabelns minsta ledararea kan det då vara bra att ta till lite extra ifall man är osäker för att tillåta uppsäkring.
Följande användare sa tack: Electrum, Sam Gold

Be Logga in eller Skapa ett konto ansluta till konversationen.

14 jan 2016 11:23 #43 av Ronnie Lidström
Nu har jag slösat bort 15 minuter av mitt liv helt i onödan med att rensa bort en hel hög med otrevliga och offtopicinlägg.

Sista varningen Stefan! Nästa gång ryker ditt konto tillsammans med inläggen!

Två bra regler som du (och alla andra) kan följa:

1: Har man inget trevligt att säga så är det bättre att vara tyst
2: Håll dig till ämnet! Huruvida Sam har 1 eller 200 konton på Fluxio är ingenting som du behöver engagera dig i.

/Moderator

Fil bilaga:
Företagare, Elinstallatör Björks EL i Skellefteå AB
Följande användare sa tack: Christer Djerf, Tony, Olle Andersson, Sam Gold

Be Logga in eller Skapa ett konto ansluta till konversationen.

14 jan 2016 14:33 #44 av Electrum
Svar från Electrum i ämnet Hjälp med en beräkning
Ja då är det dags att fortsätta lite här i tråden.
Jag börjar med lite allmän matte/teori.

Sam Gold skrev: Fast enklast blir väl I = P/U? så jag får det till 74000/690= 107,246a?

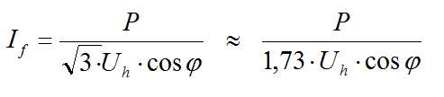
Den effektformeln är viktig, och rätt att använda för enfas-effekt och vid likström.

Men det är milt sagt knöligt att använda denna formel för Y-kopplad trefaslast.

Så formeln för trefas-effekt tycker jag verkligen är värd att lära sig och att lägga på minnet:


Den lyder alltså som ovan. Och är helt perfekt att använda, för du behöver aldrig ägna en tanke på om det är D-kopplat eller Y-kopplat. Bara mata in Uh (som är huvudspänning, dvs 400V för det mesta för oss som jobbar på LSP-sidan), och fasströmmen (strömmen på en fas, samma ström på alla faser).
cos (phi) är fasvridningen, måste användas om man ska få rätt vid induktiva laster (eller kapacitiva).
Vid ren resistiv last så är phi 0°, och cos(phi)= 1, dvs man kan skippa den delen helt.
Spis, bastu, element, ugnar, VVB, osv är rent resistiva laster.
Motorer är induktiva.
Belysning, värmepumpar och lite annat kan vara lite av varje.

Jag, som ändå i sådana här sammanhang är så gott som mattesnille, tyckte den formeln för trefas-effekt var knölig att lära sig utantill. Men det gick till sist. Bl.a. för att jag ett tag provade att räkna med den på allt möjligt, dvs inte bara när jag var tvungen. Efter ett tag sitter den där. :)


Vill man räkna ut linjeströmmen (fas-strömmen) istället så möblerar man om faktorerna i enlighet med vanlig ekvationslösning. Är detta svårt eller ovant så kan man ju annars lära sig även denna utantill, eller skriva upp i sin lilla bra-att-ha formelsamling.



Men i dessa formler som jag nu fixat till så fint i MS word så är alltså
P = effekt (aktiv effekt)
Uh = Huvudspänning, dvs spänning mellan 2 faser. 400V ska som regel användas, men i t.ex. industrin är det inte ovanligt med UH = 690V för motordrifter, osv.
If = strömmen i en fas (men samma ström i alla faser alltså).

sqrt(3) är ju nästan lika med 1,73 (uträknat), så jag brukar minnas detta också, och att använda 1,73 ger tillräcklig noggrannhet - typ alltid.
Det är ju inte alltid man har tillgång till en miniräknare med rot, eller t.o.m måste huvudräkna. ;)

Sen det jag inte förstår i din uträkning (symbolmässigt) jag förstår att U = volt I = Ampere P = Watt men symbolerna bredvid får mig att känna mig kork

I de formler jag tog och plankade en bild ifrån wikipedia var det lite onödigt komplicerat då det blandades in både aktiv, reaktiv och skenbar effekt.

"Varde ljus"                                                                                 Frilansare med AL
1 Mosebok 1:3
Bilagor:
Följande användare sa tack: Sam Gold

Be Logga in eller Skapa ett konto ansluta till konversationen.

14 jan 2016 14:47 #45 av Electrum
Svar från Electrum i ämnet Hjälp med en beräkning

Sam Gold skrev: Här kommer min uträkning iallfall, sämst på matte så där skon klämmer

I = p / (3^(1/2) * U) I = 74000 / 1193 = 62 så minst 63ampere?

Och här börjar det helt enkelt bra.

Du har möblerat om så gott som rätt. Det är bara I som inte skulle varit kvar i högerledet, då I har flyttats till vänsterledet. (Om det nu inte är en etta isf ett I ... ;))
Dvs denna röda bort
I = p / (3^(1/2) * U) I = 74000 / 1193 = 62


Så här skulle det blir rätt, men det är lite fel i uträkningen, miss på miniräknaren tro?
I = p / (3^(1/2) * U) = 74000 / 1193 = 62

Det blir alltså I = p / (3^(1/2) * U) = 74000 / 692 = 107 A

Dvs köket där skulle kunna dra 107 A på vardera fas. Lite teoretiskt dock, då alla maskiner troligen inte går samtidigt med full effekt.


Och det har Stefan redan kommit fram till. Men även du fick väl detta i ett annat inlägg?


Nåja, nu har vi bestämt en "teoretisk" toppström.
Nu måste vi försöka bestämma vad som är en praktiskt användbar säkring när vi egentligen vet att köket definitivt ej drar denna ström hela dagarna.

Och detta är det riktigt svåra i en sådan här dimensionering. :)

"Varde ljus"                                                                                 Frilansare med AL
1 Mosebok 1:3
Följande användare sa tack: Sam Gold

Be Logga in eller Skapa ett konto ansluta till konversationen.

14 jan 2016 15:24 - 14 jan 2016 15:29 #46 av Sam Gold
Svar från Sam Gold i ämnet Hjälp med en beräkning

Bo Siltberg skrev: Jag har minsann annat att göra än att döma i en dialog mellan vuxna personer. Stefan, var snäll och dämpa tonen i denna tråd nu.

Sam gå till chefen och begär de standarder som behövs här, SS 436 40 00, HB 421, SS 437 01 02. Detta istället för att titta i tveksamma tabeller på nätet som inte överensstämmer med de som finns i Svenska regler.

En annan liten grej: P = I * 3 * Uf = I * √3 * Uh så 75 kW blir ca 109 A.

Låt oss nu fortsätta diskutera den dimensionerande belastningen här och hur man räknar på det.


Hej, tack för ditt svar, ska se hur det kunde bli så fel senare ikväll, jag köpte faktiskt den boken idag (1000kr :S) ska försöka lära mig hur man slår i den i helgen samt märka upp kapitel.
Återkommer med min litteraturlista som jag inhandlat så får ni säga vilka böcker jag ska börja läsa och vilka jag ska kasta.

Be Logga in eller Skapa ett konto ansluta till konversationen.

14 jan 2016 15:26 #47 av Sam Gold
Svar från Sam Gold i ämnet Hjälp med en beräkning
Tack för alla svar verkligen uppskattat :pusspuss: :pusspuss:
Skall läsa igenom alla era svar ordentligt innan jag svarar så det blir lite mer genomtänkt svar den här gången,
ska även försöka sammanfatta allt på första sidan med förklaring till hur och varför man räknar ut det som man gör.
Sen självklart uppdatera hela tiden med frågor som kommer.

Återigen stort tack till alla för hjälpen med uträkningar och trådrensning :klapp: :klapp:

Be Logga in eller Skapa ett konto ansluta till konversationen.

14 jan 2016 16:48 - 14 jan 2016 16:52 #48 av Electrum
Svar från Electrum i ämnet Hjälp med en beräkning
Men återigen.

Nu har vi ett värde på toppeffekt på ungefär 75 kW som skulle ge huvudsäkring på 125A, teoretiskt ...

Men så kan vi inte ha det, och kommer inte heller att göra.
Men ska vi ha 35A, 50A, 63 A, 80A eller 100A ?


Frågan är vad för genomsnittlig effekt vi kan räkna med, och hur mycket hänsyn det behöver tas till effekttoppar.

Själv tror jag att köket går på något runt 25-35% av maxeffekten när allt väl är uppvärmt.

Vad tror ni andra?

"Varde ljus"                                                                                 Frilansare med AL
1 Mosebok 1:3

Be Logga in eller Skapa ett konto ansluta till konversationen.

14 jan 2016 18:20 #49 av Bo Siltberg
Det är precis här vi skulle behöva input från köksfolk. Vad är det första de gör när de kommer till jobbet? Förhoppningsvis startar de inte alla spisar och ugnar på en gång, utan de kanske dels använder 50 % av maskinerna beroende på maträtt och dels sprider ut det mer i tiden.

Be Logga in eller Skapa ett konto ansluta till konversationen.

14 jan 2016 19:09 - 14 jan 2016 19:18 #50 av Sam Gold
Svar från Sam Gold i ämnet Hjälp med en beräkning

Bo Siltberg skrev: Det är precis här vi skulle behöva input från köksfolk. Vad är det första de gör när de kommer till jobbet? Förhoppningsvis startar de inte alla spisar och ugnar på en gång, utan de kanske dels använder 50 % av maskinerna beroende på maträtt och dels sprider ut det mer i tiden.


Hej,

Har ringt två vänner som har restaurang och väntar på svar från en tredje (Hotell)

Restaurang 1 (Tapasrestaurang)
Säger att om dom dom oftast startar allt på en gång vid rusher (mellan 15:00-23:00) ca.
Dom har 4 kockar vid 4 stationer.
Jag frågade om han fick gissa procentuellt hur ofta allt sparkades igång på samma gång och hur ofta allt gick på fullt så sa han ca 80% av tiden när det är rush.
Spelade in samtalet så kan lyssna igenom det vid tillfälle för jag lyckades inte skriva ner ord för ord, men ska hälsa på nästa vecka då kan jag kolla själv hur allt fungerar och fråga kockarna :)
Frågade hur ofta säkringarna small och han sa att det var väldigt sällan, oftast när det var något som var fel/trasigt.

Restaurang 2 Pastarestaurang
Kortfattat så sa han att det beror på men inte jätteofta om det inte var galet stressigt och dom var tvungna att förbereda, ugnen gick hela tiden för där gör dom bröd och allt möjligt, fritösen är på men inte full rulle jämt osv osv.

Återkommer med den sista när han svarat.

Be Logga in eller Skapa ett konto ansluta till konversationen.

14 jan 2016 19:10 #51 av Electrum
Svar från Electrum i ämnet Hjälp med en beräkning
Jag har gjort jobb i någon restaurang. Särskilt två st som är stamkunder.

Och jag kan lova er att när kökspersonalen kommer för dagen så går dom och slår genast på typ precis alla saker direkt.
Fläkt, stekbord, såsvärmarna, pastakokaren (som jag drog matning till för ett tag sen så jag vet att den är på 7kW), ugn, osv.
Ja precis allt går igång samtidigt.
Undantaget är väl diskmaskinen, några induktionshällar och AC'n.

Så nog har jag funderat över vilken effekttopp det lär vara där varje dag. :)

"Varde ljus"                                                                                 Frilansare med AL
1 Mosebok 1:3

Be Logga in eller Skapa ett konto ansluta till konversationen.

14 jan 2016 19:20 - 14 jan 2016 19:21 #52 av Ronnie Lidström
Nu är jag inte så erfaren av storköksinstallationer men nog skulle jag dimensionera matning/ central för att allt ska kunna gå samtidigt!

Beroende på vad det är för typ av restaurang så har nog de flesta tillfällen då man måste maxa anläggningen och det är just vid sådana tillfällen det skadar verksamheten mest om det börjar gå huvudsäkringarna!

En engångskostnad på lite högre dimensionerad matning/central är värt det!

Edit: Sen ska man ju inte glömma att lägga på XX % för framtida expansion!

Fil bilaga:
Företagare, Elinstallatör Björks EL i Skellefteå AB

Be Logga in eller Skapa ett konto ansluta till konversationen.

14 jan 2016 19:29 - 14 jan 2016 19:31 #53 av Sam Gold
Svar från Sam Gold i ämnet Hjälp med en beräkning

Ronnie Lidström skrev: Nu är jag inte så erfaren av storköksinstallationer men nog skulle jag dimensionera matning/ central för att allt ska kunna gå samtidigt!

Beroende på vad det är för typ av restaurang så har nog de flesta tillfällen då man måste maxa anläggningen och det är just vid sådana tillfällen det skadar verksamheten mest om det börjar gå huvudsäkringarna!

En engångskostnad på lite högre dimensionerad matning/central är värt det!

Edit: Sen ska man ju inte glömma att lägga på XX % för framtida expansion!


Hej,

Ja men då måste man väl ha en 3x125? Just det ställe jag är på kommer inte kunna expandera för det får dom inte bygglov till. Men om man ska säkra det helt korrekt så blir det alltså 125A?
Men vad är värsta tänkbara scenario med för hög säkring förutom att det kommer krävas extremt mycket för den att lösa ut vid lite använding? Eller är jag ute och cyklar nu?
För om vi leker med tanken att det ofta kommer vara fullt ös måste man väl säkra till 125 som Electrum kom fram till, eller räknar man bort något vid installationen?

Be Logga in eller Skapa ett konto ansluta till konversationen.

14 jan 2016 20:18 #54 av Rikard Ågren
Jag skulle nog dimensionera "säkert" i början. Sedan kan man efter några månader begära ut toppeffekt av elleverantören och säkra ner efter det om det skulle behövas

Projektledare el, styr och automation
Följande användare sa tack: Electrum

Be Logga in eller Skapa ett konto ansluta till konversationen.

14 jan 2016 21:05 #55 av Robin Strandberg
De flesta elbolag har väl effektabonnemang över 63-80A. Då spelar det inte så stor roll om huvudsäkringen är 125A eller t ex 80A. Det är effekten man abonnerar på. Visst spelar det roll i hur grov matning osv men om man ändå ska bygga säkert och använda 125A så behövs inget fysiskt arbete för att spara pengar på abonnemangsavgiften senare.

Projekt & Servicetekniker
Niko Home Control

Be Logga in eller Skapa ett konto ansluta till konversationen.

15 jan 2016 12:58 #56 av Ronnie Lidström
Här är det vanliga abb upp t.o.m 63A. 80A och över är effektabb.

Med "expandera" menade jag främst nya maskiner, inte att de fysiskt expanderar lokalen. Men i de kök jag varit inblandade i har det alltid tillkommit saker i efterhand.. Nån pastakokare, extra grillbord osv som dom klämt in nånstans.

Fil bilaga:
Företagare, Elinstallatör Björks EL i Skellefteå AB

Be Logga in eller Skapa ett konto ansluta till konversationen.

15 jan 2016 20:10 - 15 jan 2016 20:51 #57 av Sam Gold
Svar från Sam Gold i ämnet Hjälp med en beräkning
Ska försöka summera alla tips och se om det blir rätt, kommer göra detta mer utförligt och försöka förklara varje steg och sammanställa det på sidan 1 så andra kan lära sig också.


1. Bestäm förväntad belastning.
S. Här räknade vi ihop alla maskiner i restaurangen och kom fram till 74kw, vi använder sedan formeln
I = p / (3^(1/2) * U) = 74000 / 692 = 107 A (förklaring till hur man räknar och varför kommer så fort jag fått ihop allting)

2. Välj överlastskydd med närmast högre märkström
Håller på att läsa i böckerna och letar svar, är dessa rätt? isåfall kan jag renskriva dessa, annars ber jag tacksamt om hjälp.
* KAPITEL 43 SKYDD MOT ÖVERSTRÖM
* § B77 Anläggningars dimensionering och allmänna anordning
* § B90 Ledare och kablars dimensionering och belastning

3. Välj kabel med en belastningsförmåga som valt överströmsskydd kräver.

4. Räkna på spänningsfallet och välj ev en kabel med större ledararea

5. Kontrollera villkoren för frånkopplingstider (för både personskydd och överströmmar) och välj skydd,
kortslutningsskydd och ev en kabel med större ledararea.

6. Kontrollera genomsläppt energi och välj ev skydd med större kortslutningsbrytförmåga eller kabel med större korttidsströmtålighet.

7. Kontrollera selektivitet mellan överströmsskydden.

Länk
kabelstickan.draka.se/Index.html

Sam Gold skrev:

Bo Siltberg skrev: Sam gå till chefen och begär de standarder som behövs här, SS 436 40 00, HB 421, SS 437 01 02. Detta istället för att titta i tveksamma tabeller på nätet som inte överensstämmer med de som finns i Svenska regler.

Regler (Har elinstallationsreglerna ss436 40 00, utg 2 med kommentarer samt elbasen men hittar inte dessa däri?Är jag pantad eller något annat fel? Tänkte fylla i alla reglerna här så om någon kan hänvisa mig vidare så renskriver jag allt som behövs.
SS 436 40 00
HB 421
SS 437 01 02.

Be Logga in eller Skapa ett konto ansluta till konversationen.

16 jan 2016 10:24 #58 av Bo Siltberg
Det finns mig veterligen inget dokument som beskriver alla delar i en ledningsdimensionering utan det är lite utspritt tyvärr. Jag kan försöka ge en referens till varje punkt. Och det är ofta andra saker som ska bedömas samtidigt så man behöver lite allmän överblick. Men forumet har ju lite trådar :)

1. Bestäm förväntad belastning.
SS 437 01 02, kapitel 8

2. Välj överlastskydd med närmast högre märkström
SS 436 40 00, kapitel 43 ger allmänna säkerhetskrav på utförandet, placering etc.
Val av typ (kniv, effektbrytare etc) handlar mer om "så brukar man göra".

(De referenser till B77 osv du har går till högspänningsdelen av de gamla föreskrifterna, där ska du väl inte vara?)

3. Välj kabel med en belastningsförmåga som valt överströmsskydd kräver.
SS 436 40 00, kapitel 52, främst 523 och tabellerna i slutet.
Här måste alltså valet även göras mot typ av skydd då dvärgar och smältsäkringar har olika krav.

4. Räkna på spänningsfallet och välj ev en kabel med större ledararea
SS 436 40 00, kapitel 525, och SS 437 01 02, kapitel 9.
Förenklad formel trefas: dU% = IB * L * p / S * 100/Uf
L = kabellängd (enkel sträcka, ej t.o.r),
p = resisitivet koppar 0.0175, alu 0.0265 (kalla ledare).
S = ledararea
Jag använder fasspänningen här. Ska egentligen vara huvudspänningen tillsammans med faktorn 1.73 men det ger samma procentuella resultat.
För mindre enfasledningar, multiplicera med 2.

5. Kontrollera villkoren för frånkopplingstider (för både personskydd och överströmmar) och välj skydd,
kortslutningsskydd och ev en kabel med större ledararea.
SS 436 40 00, kapitel 41 och 43
HB 421
www.fluxio.se/forum/27/10259.html?limit=200&start=0

6. Kontrollera genomsläppt energi och välj ev skydd med större kortslutningsbrytförmåga eller kabel med större korttidsströmtålighet.
HB 414, HB 421 (SS 424 14 24)

7. Kontrollera selektivitet mellan överströmsskydden.
Se tillverkarnas datablad för de överströmsskydd som används och för de strömmar som är aktuella.

Man kan behöva börja om från punkt 2 ett par gånger innan allt stämmer.
Följande användare sa tack: Electrum, Sam Gold

Be Logga in eller Skapa ett konto ansluta till konversationen.

17 jan 2016 12:54 - 17 jan 2016 13:10 #59 av Sam Gold
Svar från Sam Gold i ämnet Hjälp med en beräkning

Bo Siltberg skrev: Det finns mig veterligen inget dokument som beskriver alla delar i en ledningsdimensionering utan det är lite utspritt tyvärr. Jag kan försöka ge en referens till varje punkt. Och det är ofta andra saker som ska bedömas samtidigt så man behöver lite allmän överblick. Men forumet har ju lite trådar :)

1. Bestäm förväntad belastning.
SS 437 01 02, kapitel 8

2. Välj överlastskydd med närmast högre märkström
SS 436 40 00, kapitel 43 ger allmänna säkerhetskrav på utförandet, placering etc.
Val av typ (kniv, effektbrytare etc) handlar mer om "så brukar man göra".

(De referenser till B77 osv du har går till högspänningsdelen av de gamla föreskrifterna, där ska du väl inte vara?)

3. Välj kabel med en belastningsförmåga som valt överströmsskydd kräver.
SS 436 40 00, kapitel 52, främst 523 och tabellerna i slutet.
Här måste alltså valet även göras mot typ av skydd då dvärgar och smältsäkringar har olika krav.

4. Räkna på spänningsfallet och välj ev en kabel med större ledararea
SS 436 40 00, kapitel 525, och SS 437 01 02, kapitel 9.
Förenklad formel trefas: dU% = IB * L * p / S * 100/Uf
L = kabellängd (enkel sträcka, ej t.o.r),
p = resisitivet koppar 0.0175, alu 0.0265 (kalla ledare).
S = ledararea
Jag använder fasspänningen här. Ska egentligen vara huvudspänningen tillsammans med faktorn 1.73 men det ger samma procentuella resultat.
För mindre enfasledningar, multiplicera med 2.

5. Kontrollera villkoren för frånkopplingstider (för både personskydd och överströmmar) och välj skydd,
kortslutningsskydd och ev en kabel med större ledararea.
SS 436 40 00, kapitel 41 och 43
HB 421
www.fluxio.se/forum/27/10259.html?limit=200&start=0

6. Kontrollera genomsläppt energi och välj ev skydd med större kortslutningsbrytförmåga eller kabel med större korttidsströmtålighet.
HB 414, HB 421 (SS 424 14 24)

7. Kontrollera selektivitet mellan överströmsskydden.
Se tillverkarnas datablad för de överströmsskydd som används och för de strömmar som är aktuella.

Man kan behöva börja om från punkt 2 ett par gånger innan allt stämmer.


Tack för din hjälp! Var tyvärr borta igår och kom hem nu så ska försöka läsa igenom allt och sammanställa ikväll :)

Har dock inte SS 437 01 02, kan man hitta just det kapitlet någonstans (kapitel 8) eller finns det likvärdigt i den bok jag har SS 436 40 00 utg 2? Annars får jag köpa boken.

Dock blir jag helt färdig när jag försöker leta information, om vi lekar med tanken att jag en dag ska ta AB i vilekn ordning bör jag börja? bifogar en bild på det material jag har samlat på mig så kanske någon kan hjälpa mig sålla i vilken ordning jag ska börja nöta.
Tänker köpa 437 om det anses nödvändigt, även om ni har andra tips mottages dessa varmt
Bilagor:

Be Logga in eller Skapa ett konto ansluta till konversationen.

17 jan 2016 13:19 #60 av Bo Siltberg
Det du saknar från SS 437 01 02 är förväntad belastning, där boken beskriver hur man kan bedöma sammanlagring från flera hushåll i samma bostad, inte tillämpbart i ditt fall alltså.
Följande användare sa tack: Sam Gold

Be Logga in eller Skapa ett konto ansluta till konversationen.

Sidan laddades på: 0.167 sekunder

Senaste foruminlägg