Beräkna jordtag

12 maj 2018 06:26 #1 av Michell Martic
Sitter och klurar på jordtag; Hur skulle en matematisk uppställning av ett jordtag se ut med homogen mark?

Jag tänker att jag skulle haft en uppställning där jag dels integrerar över elektroden som är x m lång. Dels så behöver jag integrera över jordtagets geometri, och dess geometri behöver då vara en funktion av x, längden på min elektrod. Det blir en integration i en integration minst.

Jag har lite idéer själv, men ser gärna fler bud.

Be Logga in eller Skapa ett konto ansluta till konversationen.

23 maj 2018 07:32 #2 av Mikael Malmgren
Svar från Mikael Malmgren i ämnet Beräkna jordtag
Inte många här som arbetar med detta. :)
Det är en intressant fråga och jag har klurat på det men hinner aldrig fundera så mycket mer över det.

Elkraftingenjör och konsult med specialitet inom Reläskydd, Selektivplaner och Elkraftberäkningar. Även stort intresse för föreskrifter & standarder samt projektledning och entreprenadjuridik.


Mikael Malmgren Installatörsbehörighet: A

www.elektroinvent.se

Den här e-postadressen skyddas mot spambots. Du måste tillåta JavaScript för att se den.

Be Logga in eller Skapa ett konto ansluta till konversationen.

06 jul 2018 08:37 - 06 jul 2018 08:43 #3 av Michell Martic
Svar från Michell Martic i ämnet Beräkna jordtag
Nä, du har nog rätt i det.

Så, jag tänkte att jag får utveckla min fundering kring hur jag tänkt "so far".

Först tänker jag mig en geometrisk modellering av jordtaget. Den tänkte jag kunde bestå av dels sveparean av en cylinder med komplettering av ett halvklot i botten. Det blir inte korrekt egentligen eftersom det finns en resistans i elektroden också så egentligen borde cylindern vara mer konformad, men jag tänker att elektrodens resistans är försumbar relativt jordtagets resistans.
Så, typ såhär:

Och på detta tänker jag sedan att jag kan beräkna totala arean för denna figur för en given r, så jag sätter r som min oberoende variabel där totala arean blir min beroende variabel.
x = r
y = Atot

Uttrycket är då delat i två delar för att beskriva dels cylinderns sveparea, dels halvklotets area.
Acy = 2πrh
Asf = 4πr2, men jag vill bara ha halva så jag dividerar med 2.
Asf/2 = 2πr2

Min totala area beroende på r borde då bli enkel att summera till:
Atot = Acy + Asf/2 = 2πrh + 2πr2
Som sedan kortas ner till 2πr(r+h)

För att sedan få detta till en resistans så använder jag mig av klassiska uttrycket:
ρ*l/A
ρ = markresistiviteten i Ωm
l = det blir ju samma som min radie, r, i meter
A = Atot

Så då får jag ett uttryck som heter:
ρ*r/2πr(r+h)

Nu förekommer r både uppe och nere så den "kortas" bort vilket lämnar mig med:
ρ/(r+h)

Detta tänker jag att det är min resistans för varje millimeter av mitt jordtag. Vill jag sedan ha totala resistansen så får jag addera dessa seriellt anslutna resistanser med varandra. Det tänkte jag att man kunde göra med integration. Och då tänker jag mig något sånt här:

Min tanke då alltså är att detta ska ge en funktion av h, alltså hur långt jag drivit ner jordspettet, som ska hjälpa mig beräkna vilken jordtagsresistans jag kommer ha. Varför integrationens övre gräns är satt till oändlig är för att det egentligen inte spelar någon roll... När man är tillräckligt långt bort kommer arean vara så stor att resistansen ändå inte ökar nämnvärt och till slut infinitesimalt lite. Men ska man stoppa in det i en räknare så får man väl slänga in ett värde, men det kan lika gärna vara 100m som 500m.

Tanken är ju också att detta ska vara en funktion, som uttrycket markerar. Detta för att jag ska kunna avläsa på kurva för en given markresistivitet hur långt spett jag ska ha. Kör jag två spett delar jag hela uttrycket på 2, förutsatt att spetten inte är i direkt anslutning till varandra så jordtagen går in i varandra. I realiteten gör de troligtvis detta dock.

Så... :huh: Jag tar gärna synpunkter.
Bilagor:

Be Logga in eller Skapa ett konto ansluta till konversationen.

07 jul 2018 05:05 #4 av Marcus
Svar från Marcus i ämnet Beräkna jordtag
Hej Michell,

Måste först säga att jag är för lite matematiker för att kunna ge någon återkoppling på formeln i sig. Det som slog mig var att jag har sett en bild i ett dokument som beskriver något som kalla "Spänningstratt" i ämnet markpotentialer. Jag har föreställt mig ett jordtag utifrån denna bild. Rätt eller fel vet jag ej. Kanske inte har något värde i denna tråd. :unsure:


Bilagor:
Följande användare sa tack: Michell Martic

Be Logga in eller Skapa ett konto ansluta till konversationen.

07 jul 2018 10:13 #5 av Michell Martic
Svar från Michell Martic i ämnet Beräkna jordtag
Jo, spänningstratten är ju det resulterande spänningsfallet om en ström går genom jordtaget.
Integralen jag beskrivit ger just en sådan fallande kurva. Men spänningstratten du bifogat är liksom en principiell beskrivning av vad som händer. Det jag är ute efter är att kunna uppskatta det mer specifika värdet för just motståndet. Att spänningsfallet går mot 100% är redan känt.

Spänningstratten hade nämligen haft samma inversiva exponentiella ekvation oavsett hur långt jordspettet är om marken är homogen men dess exponent hade varit lägre och dess yttre gräns, radien, hade legat närmre med längre jordspett. Med andra ord hade kurvan varit brantare bara med ett bättre jordtag.

Man kan nog säga att spänningstratten är en annan sida av samma mynt, en konsekvens av jordtagets geometri där ökande radie ger större area och därmed avtagande spänningsfall i utkanterna av jordtaget relativt närmre dess centrum.

Be Logga in eller Skapa ett konto ansluta till konversationen.

07 jul 2018 12:35 - 07 jul 2018 12:49 #6 av Mikael Malmgren
Svar från Mikael Malmgren i ämnet Beräkna jordtag
Jag har inte titta på hur du kommer fram till funktionen

resistans = ρ/2π(r+h)

som då är beroende av två variabler, hur långt jordspetet är och hur långt ifrån jordspetet du befinner dig

Det som jag fastnade i var övergången till en integral. Konstanten ρ/2π kan du plocka ut ur integralen den bara gör att det ser mer komplicerat ut, händer inget med denna vid en integrering.

Om du nu skall integrera med avseende på h borde det stå dh i slutet vilket förenklat (det vill säga vi tar bort variabeln r) i din formel är 1/h, vilket faktiskt renderar i den här tratten som nämndes i ett inlägg. Funktionen 1/h har sedan den primitiva funktionen ln h + C. Här måste vi på något sätt får fram värdet på konstanten C.

Det känns också som att du måste sikta på en dubbelintegral eftersom det ser ut som om (i det du skrivit) att du har två variabler att ta hänsyn till (r och h), dvs integrera över både dh och dr då det väl måste vara en volym som du är ute efter och inte en area. (Vilket när jag skriver det inte är helt säker på själv)

Elkraftingenjör och konsult med specialitet inom Reläskydd, Selektivplaner och Elkraftberäkningar. Även stort intresse för föreskrifter & standarder samt projektledning och entreprenadjuridik.


Mikael Malmgren Installatörsbehörighet: A

www.elektroinvent.se

Den här e-postadressen skyddas mot spambots. Du måste tillåta JavaScript för att se den.
Följande användare sa tack: Michell Martic

Be Logga in eller Skapa ett konto ansluta till konversationen.

07 jul 2018 12:36 #7 av Mikael Malmgren
Svar från Mikael Malmgren i ämnet Beräkna jordtag
Mitt 300:de inlägg blir för övrigt en :tokig:

Elkraftingenjör och konsult med specialitet inom Reläskydd, Selektivplaner och Elkraftberäkningar. Även stort intresse för föreskrifter & standarder samt projektledning och entreprenadjuridik.


Mikael Malmgren Installatörsbehörighet: A

www.elektroinvent.se

Den här e-postadressen skyddas mot spambots. Du måste tillåta JavaScript för att se den.

Be Logga in eller Skapa ett konto ansluta till konversationen.

07 jul 2018 19:02 #8 av Michell Martic
Svar från Michell Martic i ämnet Beräkna jordtag
Nja, min tanke var just att integrera över r varför den variabeln slutar efter integralen. Den finns liksom inte som variabel förutsatt att integrationsgränsen i verkligheten inte är oändlig.

Min tanke är att få ut en kurva där varje fullständig integration över r ska bli EN punkt på kurvan för olika h. Jag försöker alltså inte integrera över h. h ska istället vara min oberoende variabel till kurvan på x-axeln.

Min tidigare tanke med en integration i integrationen var för att ta hänsyn till jordelektrodens resistens också, men efter att ha räknat fram och tillbaka på det så är den ibregel helt försumbar.

Jag antar att man skulle kunna göra en analogi till radiell värmestrålning och integrera skivvis längs h istället och sedan sfäriskt från botten av jordtaget. Då skulle jag bara kunna byta lambda mot rå och 1/U mot R.

Faktorerna kan flyttas ut, det här du rätt i. De kan stå som inverser före integrationstecknet eller som nämnare under hela integrationen. Det kan stuvas om, ska stuvas om. :)

Be Logga in eller Skapa ett konto ansluta till konversationen.

07 jul 2018 19:03 #9 av Michell Martic
Svar från Michell Martic i ämnet Beräkna jordtag

Mikael Malmgren skrev: Mitt 300:de inlägg blir för övrigt en :tokig:

300? Trodde du var uppe i mer! Men ser nu.

Grattis Mikael!

Be Logga in eller Skapa ett konto ansluta till konversationen.

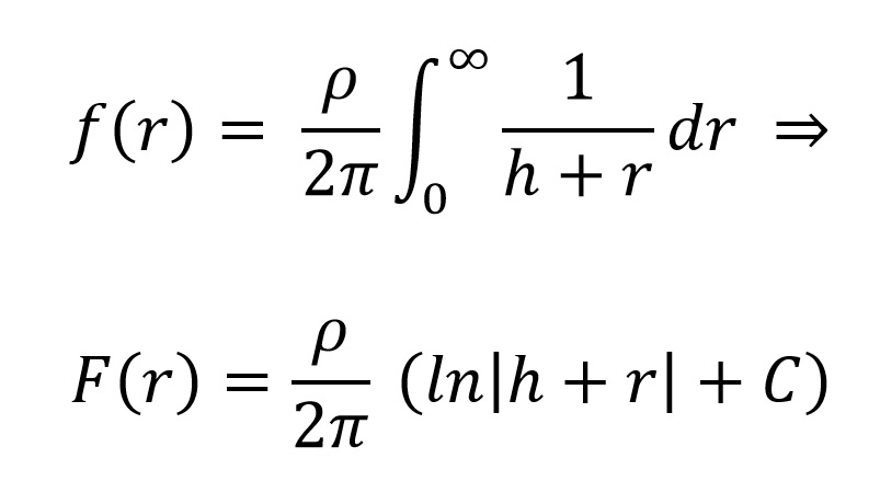
08 jul 2018 17:16 - 08 jul 2018 19:43 #10 av Mikael Malmgren
Svar från Mikael Malmgren i ämnet Beräkna jordtag
Du får denna ekvationen då där du integrerar över r








där h och givetvis även rå kan vara olika beroende på förhållanden

(det var ju h---te vad bilden blir stor!!)

Elkraftingenjör och konsult med specialitet inom Reläskydd, Selektivplaner och Elkraftberäkningar. Även stort intresse för föreskrifter & standarder samt projektledning och entreprenadjuridik.


Mikael Malmgren Installatörsbehörighet: A

www.elektroinvent.se

Den här e-postadressen skyddas mot spambots. Du måste tillåta JavaScript för att se den.
Bilagor:
Följande användare sa tack: Michell Martic

Be Logga in eller Skapa ett konto ansluta till konversationen.

08 jul 2018 20:57 - 08 jul 2018 21:43 #11 av Michell Martic
Svar från Michell Martic i ämnet Beräkna jordtag
Nja, min funktion hette f(h), inte f(r). Jag hade inte för avsikt att erhålla en primitiv funktion utan gränser. Tanken var snarare att få ekvationen löst för r och därefter summera samtliga summor med infinitesimalt små steg för r till ett värde för varje h istället.

Dessutom kan jag ju faktiskt lösa den primitiva funktionen genom att införa integrationsgränserna. Det är väl här det blir ett problem med ett oändligt värde. Så skruva ner det till 500m. Jag är inte ute efter allmänna lösningen för funktionen med avseende på r utan för den faktiska lösningen.

Då borde jag egentligen få: Vilket är oberoende r, precis vad jag är ute efter.

Det slutliga målet skulle dock vara: Som stuvas om till:
Bilagor:

Be Logga in eller Skapa ett konto ansluta till konversationen.

08 jul 2018 21:33 - 08 jul 2018 21:52 #12 av Michell Martic
Svar från Michell Martic i ämnet Beräkna jordtag
Satte in funktionen i graf nu med beräkning. Det lär ju inte gå utan en övre integrationsgräns. Så på grund av det så tänker jag att man föreslår den gräns vid vilken spänningssonden placeras vid jordtagsmätning, 40m.
Då får jag ut följande graf vid markresistivitet om 20Ωm, exempelvis bra lerjord: 8-9Ω vid 3m elektrod, det verkar faktiskt rimligt. :huh:
Bilagor:

Be Logga in eller Skapa ett konto ansluta till konversationen.

08 jul 2018 21:45 #13 av Michell Martic
Svar från Michell Martic i ämnet Beräkna jordtag
Matte är kul :)

Be Logga in eller Skapa ett konto ansluta till konversationen.

09 jul 2018 11:01 #14 av Mikael Malmgren
Svar från Mikael Malmgren i ämnet Beräkna jordtag

Michell Andersson skrev: Nja, min funktion hette f(h), inte f(r). Jag hade inte för avsikt att erhålla en primitiv funktion utan gränser. Tanken var snarare att få ekvationen löst för r och därefter summera samtliga summor med infinitesimalt små steg för r till ett värde för varje h istället.


Ja, jag vet att du tänkte så. Jag funderade först på funktionen f(r) där du integrerar över r. Tror att för att funktionen ska se matematiskt korrekt ut så skriver man f(r) = (funktion) dr
När man väl fått fram denna så kan man då välja att göra h f(h) eller kanske rå f(rå) till variabler i en funktion. Precis som du gjort.

Elkraftingenjör och konsult med specialitet inom Reläskydd, Selektivplaner och Elkraftberäkningar. Även stort intresse för föreskrifter & standarder samt projektledning och entreprenadjuridik.


Mikael Malmgren Installatörsbehörighet: A

www.elektroinvent.se

Den här e-postadressen skyddas mot spambots. Du måste tillåta JavaScript för att se den.

Be Logga in eller Skapa ett konto ansluta till konversationen.

09 jul 2018 11:05 - 09 jul 2018 11:18 #15 av Mikael Malmgren
Svar från Mikael Malmgren i ämnet Beräkna jordtag

Michell Andersson skrev: Som stuvas om till:


Det skall alltså inte stå oändlighetstecken i funktionen för det blir konstigt.
Detta byts till vald placering av "sond".

Elkraftingenjör och konsult med specialitet inom Reläskydd, Selektivplaner och Elkraftberäkningar. Även stort intresse för föreskrifter & standarder samt projektledning och entreprenadjuridik.


Mikael Malmgren Installatörsbehörighet: A

www.elektroinvent.se

Den här e-postadressen skyddas mot spambots. Du måste tillåta JavaScript för att se den.

Be Logga in eller Skapa ett konto ansluta till konversationen.

09 jul 2018 11:21 - 09 jul 2018 11:23 #16 av Mikael Malmgren
Svar från Mikael Malmgren i ämnet Beräkna jordtag

Michell Andersson skrev: :


Snurrar vi nu denna runt y-axeln så får vi vår tratt.

Elkraftingenjör och konsult med specialitet inom Reläskydd, Selektivplaner och Elkraftberäkningar. Även stort intresse för föreskrifter & standarder samt projektledning och entreprenadjuridik.


Mikael Malmgren Installatörsbehörighet: A

www.elektroinvent.se

Den här e-postadressen skyddas mot spambots. Du måste tillåta JavaScript för att se den.

Be Logga in eller Skapa ett konto ansluta till konversationen.

09 jul 2018 11:30 #17 av Michell Martic
Svar från Michell Martic i ämnet Beräkna jordtag
Att det är en exponentiellt avtagande funktion var det aldrig något tvivel om. Det säger ju sig själv av jordtagets geometri.

Spänningstratten utan värden på axlarna är ju bara en princip. Min poäng är att få fram specifika värden för funktionen f(h) förutsatt att man har kunskap om jordmånen så att man lättare kan bedöma hur många elektroder och hur lång neddrivning man behöver.

Den informationen får jag inte fram genom att titta på en spänningstratt oavsett hur jag gör. Jag får bara fram formen. Dessutom varierar funktionens derivata med varierande markresistivitet och längd på elektrod. Det är ju inte en statisk kurva liksom.

Be Logga in eller Skapa ett konto ansluta till konversationen.

09 jul 2018 13:03 #18 av Michell Martic
Svar från Michell Martic i ämnet Beräkna jordtag

Mikael Malmgren skrev:

Michell Andersson skrev: Som stuvas om till:


Det skall alltså inte stå oändlighetstecken i funktionen för det blir konstigt.
Detta byts till vald placering av "sond".

Exakt!

Jag hade en tanke från början om att det lika gärna kunde stå oändligt eftersom arean ökar exponentiellt när vi rör oss bort från jordtaget. Tanken var ju att arean till slut skulle vara så stor att det skulle finnas obetydliga förändringar med ytterligare ökning av jordtagets ökande radie.

När jag senare slängde in funktionen i graf så blev det dock bananas, så det gick sig liksom inte.

Be Logga in eller Skapa ett konto ansluta till konversationen.

09 jul 2018 13:12 #19 av Michell Martic
Svar från Michell Martic i ämnet Beräkna jordtag
Jag tog fram en graf till där jag satt elektrodens längd till 3m och spänningssond på 40m. Med andra ord så ska jag med detta kunna beräkna jordtagets motstånd vid olika markresistivitet, funktionen f(rhå):

Och då får jag en sån här:
Vad tror ni, kan vi vara något på spåret?
Bilagor:

Be Logga in eller Skapa ett konto ansluta till konversationen.

09 jul 2018 13:15 #20 av Michell Martic
Svar från Michell Martic i ämnet Beräkna jordtag

Mikael Malmgren skrev:

Michell Andersson skrev: Nja, min funktion hette f(h), inte f(r). Jag hade inte för avsikt att erhålla en primitiv funktion utan gränser. Tanken var snarare att få ekvationen löst för r och därefter summera samtliga summor med infinitesimalt små steg för r till ett värde för varje h istället.


Ja, jag vet att du tänkte så. Jag funderade först på funktionen f(r) där du integrerar över r. Tror att för att funktionen ska se matematiskt korrekt ut så skriver man f(r) = (funktion) dr
När man väl fått fram denna så kan man då välja att göra h f(h) eller kanske rå f(rå) till variabler i en funktion. Precis som du gjort.

Fast integrationen i sig är ingen funktion. Det finns en funktion inom integrationen dock. Men den är sluten så fort jag inför integrationsgränserna i den primitiva funktionen. r är ju ingen variabel annat än i uttrycket för integrationen.

Be Logga in eller Skapa ett konto ansluta till konversationen.

Sidan laddades på: 0.739 sekunder

Senaste foruminlägg